021-64666444 64666999 65393977
上海李大伟教育
首页
关于我们
校长简介
教学分点
学习与考试
大伟随笔
资讯中心
政策研究
高考政策
小升初
学校动态
家庭教育
高一年级
高二年级
高三年级
搜索
名称
描述
内容
课程中心
COURSE
CENTER
初三承诺班第一次月考 【英语】【数学】参考答案
来源:
|
作者:
pmo0020c7
|
发布时间:
2016-03-24
|
14
次浏览
|
分享到:
初三承诺班
第一次月考
【英语】参考答案
(完卷时间:
60
分钟,
满分:
100
分)
初三承诺班
第一次月考
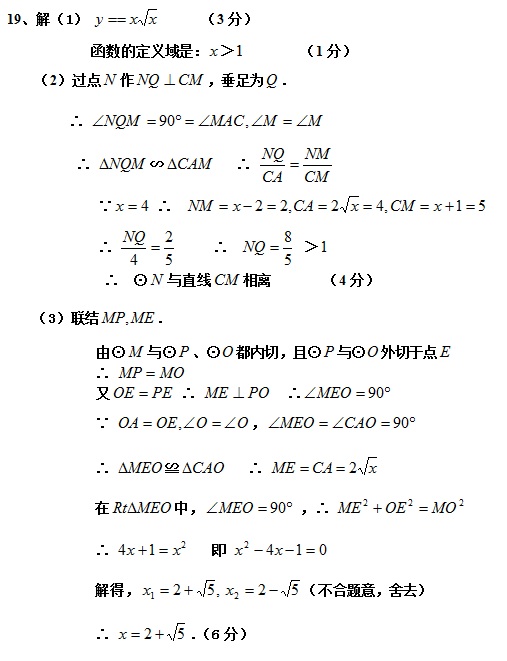
【数学】参考答案
(完卷时间:
60
分钟,
满分:
100
分)
上海李大伟教育
2016年3月18日
上一篇:
【初三数学压轴题班】第一讲练习解析
下一篇:
“清明节”上课安排
高中课程
高
一
同步培优
特色课程
高 二
同步培优
特色课程
高 三
同步培优
特色课程