021-64666444 64666999 65393977
上海李大伟教育
首页
关于我们
校长简介
教学分点
学习与考试
大伟随笔
资讯中心
政策研究
高考政策
小升初
学校动态
家庭教育
搜索
名称
描述
内容
资讯中心
>>
资讯中心
INFO CENTER
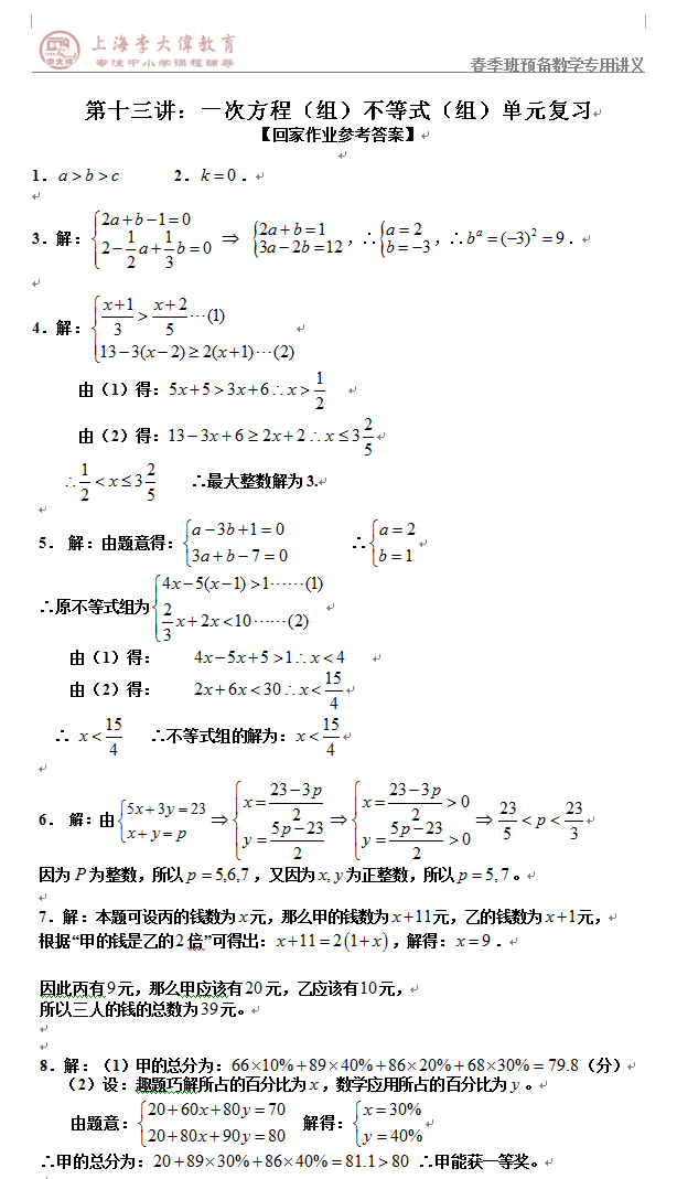
【预初全科班数学】第十三讲|参考答案
来源:
|
作者:
lidaweijiaoyu
|
发布时间:
2017-05-12
|
14
次浏览
|
🔊
点击朗读正文
❚❚
▶
|
分享到:
上一篇:
【初一全科班数学】第十三讲|参考答案
下一篇:
【预初全科班数学】第十四讲|参考答案
学校动态
大伟随笔
家庭教育
政策研究